Heavily Redacted Police Records Raise Broader Questions
Public records request returns multiple blacked out lines and we have to ask why
Written by Dan Shibilia
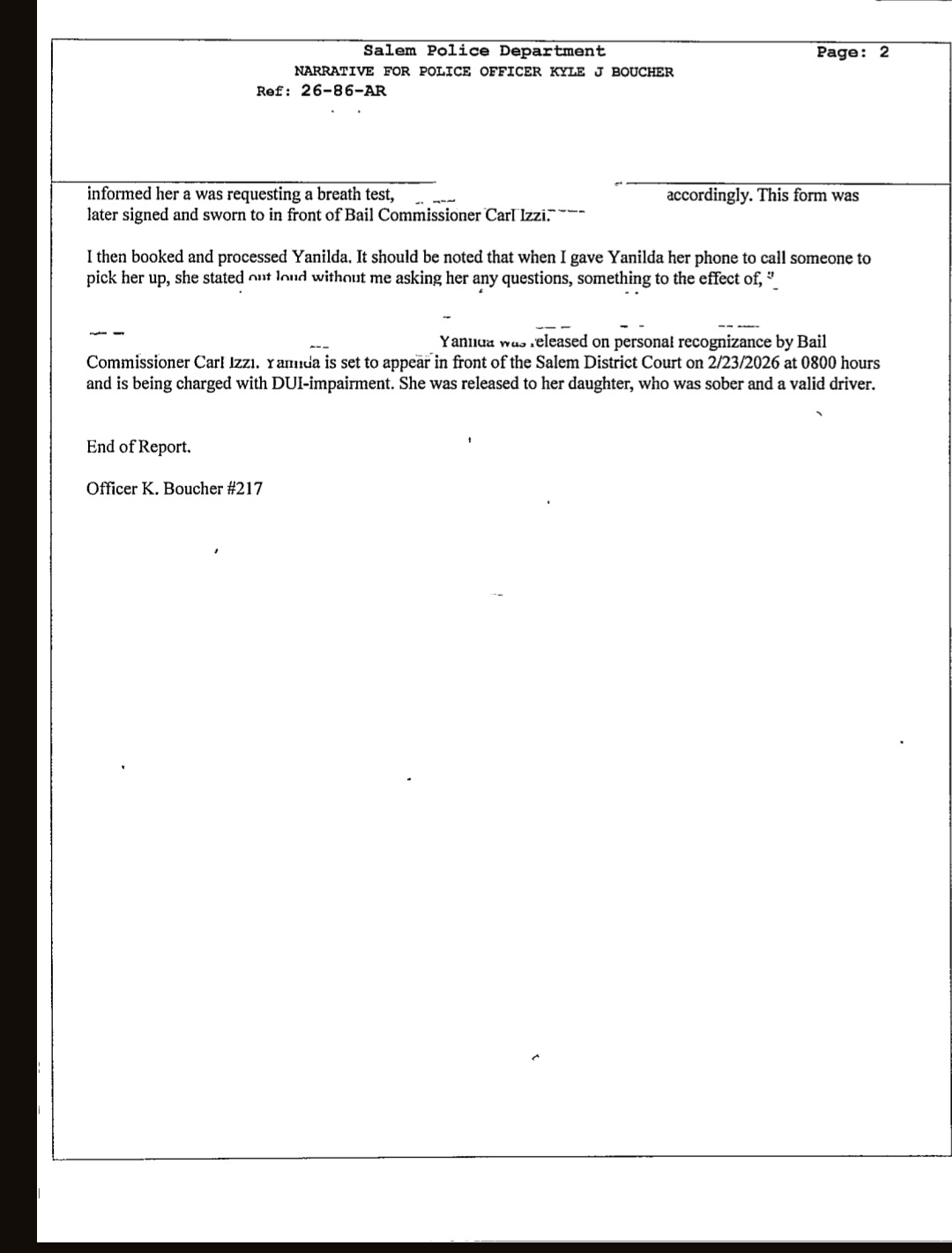
My recent Right to Know request (this is the NH equivalent to a FOIA request) submitted to the Town of Salem, New Hampshire resulted in the release of police records that were heavily redacted.
While documents were technically produced in response to the January 30, 2026 request, large portions were removed without a detailed explanation identifying the statutory exemptions used to justify the redactions.
Under New Hampshire’s Right-to-Know Law (RSA 91-A), government records are presumed public unless a specific exemption applies. Courts have consistently held that exemptions must be narrowly construed and that the burden rests on the public body to justify nondisclosure.
This is not just a local concern.
Earlier this week, Boston Herald columnist Howie Carr described receiving similarly redacted police records in connection with a separate public records request. In his article, Carr noted that “everything good seems to have been cut out of the incident report,” pointing to multiple sections that were entirely blacked out.(Source: https://www.bostonherald.com/2026/03/08/howie-carr-some-public-record-wins-include-pepper-spray-happy-trooper-and-drunk-city-councilor/)
Regardless of one’s politics, the underlying issue is the same: when police reports are redacted to the point where substantive facts are removed, the public is left to question whether the redactions comply with state transparency law.
So, what does NH require?
RSA 91-A:4, I establishes that governmental records are public unless specifically exempted.
RSA 91-A:4, IV further requires that when records are withheld, the public body must provide a written statement of the reason for denial, including the specific exemption relied upon.
New Hampshire Supreme Court precedent — including:
• Union Leader Corp. v. Town of Salem (2020)
• Lamy v. N.H. Public Utilities Commission (2005)
• Prof’l Firefighters of N.H. v. Local Gov’t Ctr. (2010)
• Seacoast Newspapers v. City of Portsmouth (2020)
— makes clear that public bodies must articulate specific legal grounds for redaction and, where applicable, conduct a balancing test weighing the governmental interest in nondisclosure against the public interest in disclosure. Blanket or compulsory redactions do not satisfy that standard.
None of this was done.
In response to the heavily redacted production, a formal follow-up email was sent requesting either:
1. An unredacted copy of the records; or
2. A detailed index identifying each redaction and the statutory exemption relied upon; and
3. An explanation of any required public-interest balancing analysis
Below is the full text of that correspondence:
---
Ms. Salazar,
Thank you for your response and for providing the documents in connection with my January 30, 2026 Right-to-Know request.
Upon review, the materials provided are significantly redacted. The Town has not identified the specific statutory exemption(s) relied upon for each redaction, nor has it provided an explanation sufficient to permit meaningful review of whether the redactions comply with New Hampshire’s Right-to-Know Law, RSA 91-A.
As you know, RSA 91-A:4, I establishes a presumption that governmental records are public and subject to disclosure. The New Hampshire Supreme Court has repeatedly held that exemptions to disclosure must be construed narrowly and that the burden rests on the public body to justify nondisclosure. See Union Leader Corp. v. Town of Salem, 173 N.H. 345 (2020); Lamy v. N.H. Public Utilities Commission, 152 N.H. 106 (2005).
Where a public body withholds or redacts information under RSA 91-A:5, it must articulate the specific exemption claimed and demonstrate, where applicable, that the governmental interest in nondisclosure outweighs the public interest in disclosure under the balancing test articulated in Prof’l Firefighters of N.H. v. Local Gov’t Ctr., 159 N.H. 699 (2010), and reaffirmed in Seacoast Newspapers, Inc. v. City of Portsmouth, 173 N.H. 325 (2020).
Additionally, RSA 91-A:4, IV requires that when records are withheld, the public body must provide a written statement of the reason for denial, including the specific exemption relied upon.
At this time, I respectfully request:
1. An unredacted copy of the responsive records; or
2. In the alternative, a Vaughn-style index identifying each redaction, the specific statutory basis under RSA 91-A:5 (or other applicable law), and an explanation of how the exemption applies; and
3. A written explanation demonstrating the required public-interest balancing analysis where applicable
Unless the Town can meet its burden under RSA 91-A and applicable case law, the records should be produced in unredacted form.
Please treat this as a formal request for reconsideration of the redactions. I would appreciate a response within five (5) business days. If the Town maintains its position, please confirm that this constitutes a final denial so that I may evaluate next steps under RSA 91-A:7.
Thank you for your prompt attention to this matter.
Thank you,
Dan Shibilia
---
Transparency laws are not partisan tools. They exist to ensure public oversight — particularly in matters involving law enforcement.
If an exemption legitimately applies, such as protecting confidential informants, active investigations, or private medical information, it should be clearly identified and explained.
If it does not, the public is entitled to the information.
When separate public records requests, involving different requesters and different cases, result in similarly extensive redactions, it raises a legitimate question:
Is this careful application of the law or over-application of exemptions?
We will update this story as the Town responds.






